Projekt Green STEM - aktivnosti na fizikalnem področju
V okviru projekta GreenSTEM smo s partnerji iz Hrvaške, Romunije in Severne Makedonije razvijali aktivnosti na vseh področjih znanosti, tehnologije in matematike.
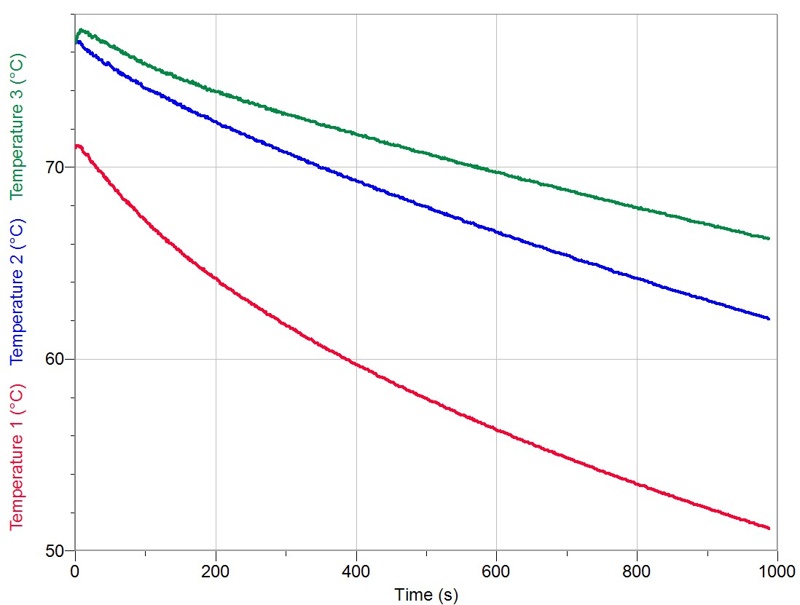
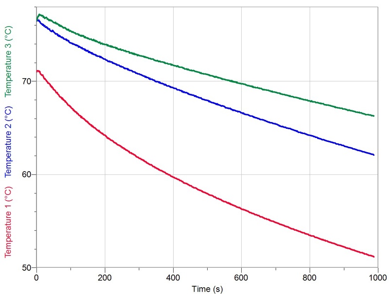
Na fizikalnem področju smo se v luči trenutnih podnebnih razmer veliko ukvarjali s podnebnimi spremembami, njihovim razumevanjem in blaženjem. Dijaki so v okviru programa na matičnih šolah in na skupnih izmenjavah raziskovali naravne požare, praktično merili učinek tople grede, spoznali pomen toplotne izolacije, sami izdelali preprost mikroskop in opazovali vodne nevretenčarje, spoznavali lastnosti lesa kot odlične in trajnostne gradbene surovine ter preučevali pomen zemlje za zadrževanje vode in rast rastlin.
Med projektom je nastalo veliko didaktičnih materialov za učitelje in dijake, zato so rezultati projekta trajni in bodo služili tudi pri pedagoškem delu v prihodnje.
